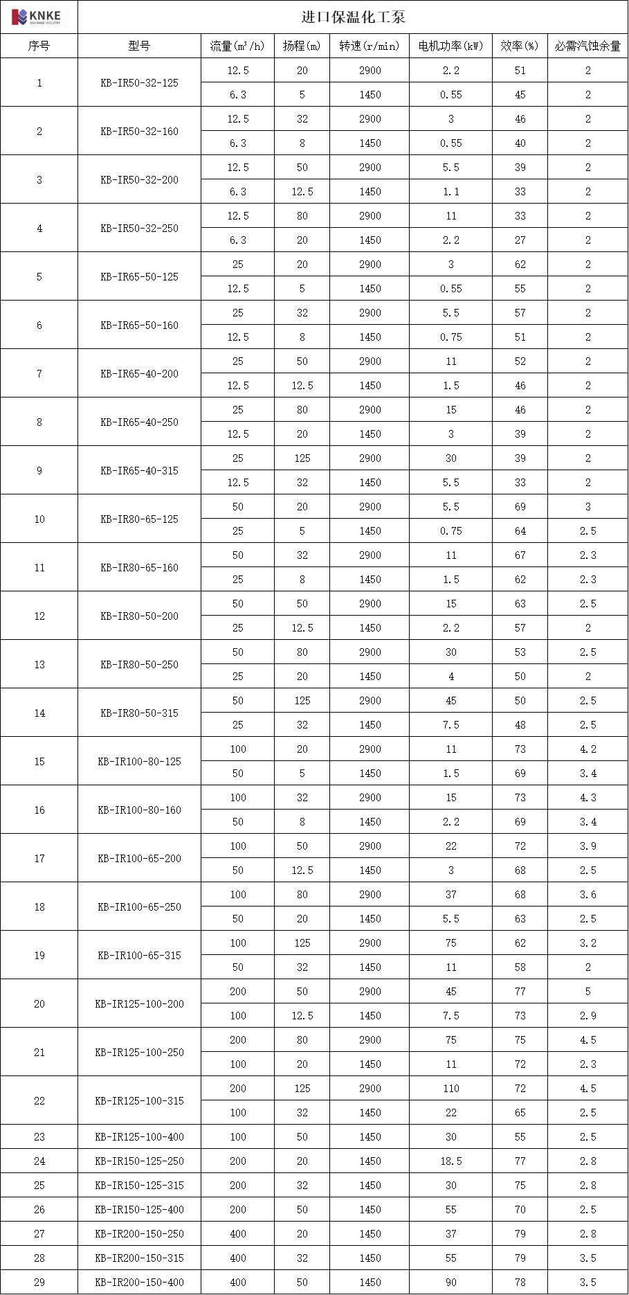
188彩票KNKE的KB-IR型保温化工泵,Thermal insulation chemical pump,是单级单吸(轴向吸入)悬臂式离心泵,是IH型化工离心泵的派生产品,供输送不含团体颗粒、具有腐蚀性、粘度类似水的液体。具有性能范围广、效率高、水平高和维修方便等特点,其效率比F型泵平均提高5克。
| 产品名称 | KB-IR型保温化工泵 |
| 品牌 | 188彩票KNKE |
| 流量 | 0—400 m³/h |
| 扬程 | 5-125m |
| 功率 | 0.55-110KW |
| 电机 | 380V,3PH,50HZ(选项:110-480V,单相,60HZ,变频/防爆/防爆变频等) |
| 泵体材质 | 铸铁,铸钢,不锈钢 |
| 使用介质 | 溶液介质凝固点(或结晶点温度)高,具有腐蚀的液体。 |
保温化工泵构成
KB-IR型化工泵其主要由泵体、叶轮、密封环、叶轮螺母、泵盖、密封部件、中间支架、轴、悬架部件等组成。
















全国服务热线
